GMZ系(xi)列.耐磨煙氣脫硫(liu)泵是單級單吸、軸(zhóu)向吸入懸臂卧🔞式(shì)離🧡心泵,可廣泛用(yòng)于冶金、礦山、電力(li)、煤礦、水利、化工、輕(qing)工、石油等部門輸(shu)送含有大量固體(tǐ)物料的💘磨蝕性或(huò)腐蝕性漿體。
GMZ型渣漿泵概(gai)述: GMZ系列高效耐磨(mo)煙氣脫硫泵是單(dān)級單吸、軸向吸入(rù)懸臂卧式☀️離心泵(bèng),可廣泛用于冶金(jin)、礦山、電力、煤礦、水(shui)利‼️、化工、輕工💯、石油(yóu)☎️等部門輸送含有(you)大量固體物料的(de)磨蝕性或腐蝕性(xìng)🏃♀️漿體。
1、GMZ型泵過流部(bù)件采用高強度耐(nai)磨材質,适用于輸(shu)送強磨蝕、高🆚濃度(dù)、大顆粒的渣漿,在(zai)泵的最大工作壓(yā)力範圍之☂️内, 可以(yǐ)多級串聯使用。
2、針(zhēn)對煙氣脫硫漿離(li)子含量的特點,我(wǒ)們采用世界上最(zuì)先進的法國鉻30材(cai)質,加油機裡面含(han)有Mo、Cr、Cu、N又加入一定活(huó)性元素,耐磨耐腐(fu)及抗沖刷性能良(liang)好,又有🔞較好的強(qiáng)度與👈韌性。
GMZ高效耐(nài)磨渣漿泵型号意(yì)義: 例:GMZ65-20-40
GMZ―高效耐磨渣(zhā)漿泵
65―出口直徑(mm)
20―揚(yáng)程值(m)
40―流量值(m3/h)
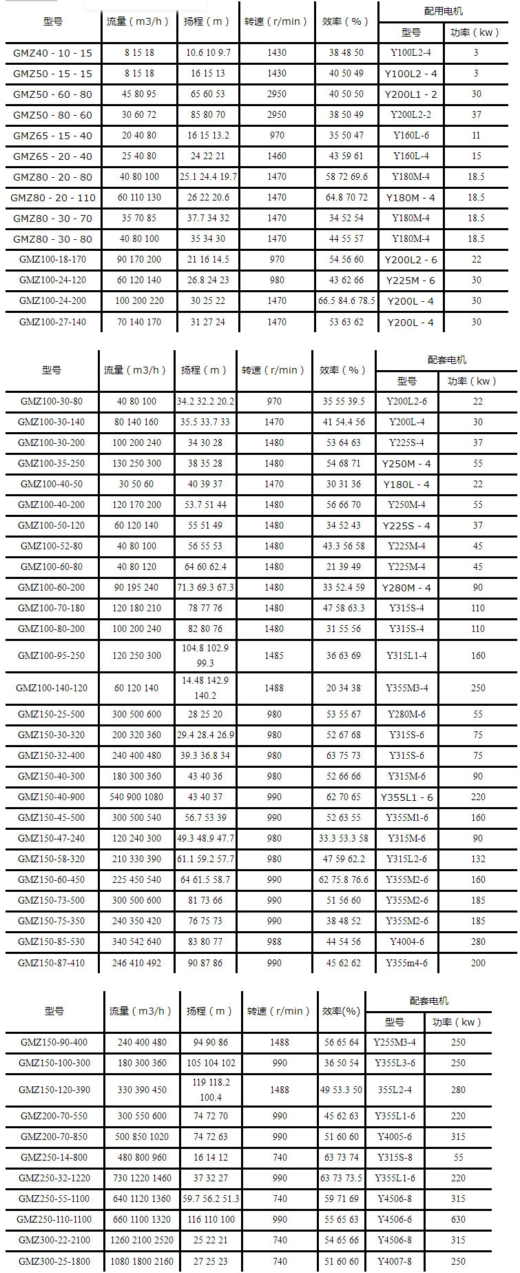
GMZ型渣(zhā)漿泵性能範圍: 流(liú)量8-2600m3/h
揚程:9-150m
功率:1.5-630kw
性能(neng)參數:
